BƠM CHÂN KHÔNG BECKER VT 4.4 | BECKER VACUUM PUMP VT 4.4 | 4.1 m3/h | 150 mbar


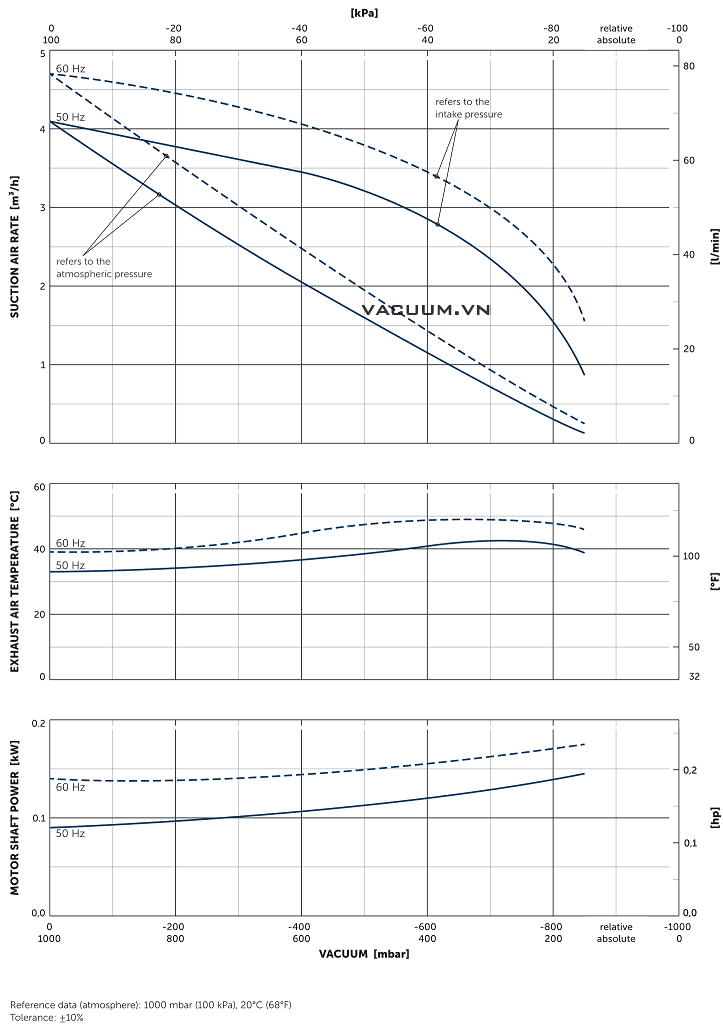
- Bơm chân không Becker VT 4.4, bơm hút chân không Becker VT 4.4, Becker Vacuum pump VT 4.4 là loại bơm chân không khô, không dầu, cánh gạt, cỡ nhỏ dùng trong phòng thí nghiệm, dây chuyền công nghiệp. Bơm chân không Becker VT 4.4 có độ chân không tuyệt đối 150 mbar, với lưu lượng max: 4.1 m3/h.
- Công nghệ tạo chân không của bơm chân không Beker VT 4.4: cánh gạt carbon (5 cánh). Thao tác lắp đặt vận hành, đơn giản, nhanh gọn. Thân vỏ bằng gang đúc, chắc chắn, thoát nhiệt tốt giúp bơm chân không Becker VT 4.4 hoạt động êm ái ổn định, tuổi thọ dài lâu, thân thiện môi trường. Size cổ hút: G 1/2".
- Valve chỉnh áp bố trí phía đầu bơm, cho phép điều chỉnh tăng/giảm nhanh chóng, dễ dàng.
- Do bơm chân không Beker VT 4.4 thuộc dạng bơm chân không khô, không có chất bôi trơn (dầu mỡ) nên đảm bảo chân không hoàn toàn sạch và khô. Ứng dụng của Bơm chân không Beker VT 4.4: trong dây chuyên công nghiệp (thực phẩm, đồ uống, nhựa, hóa chất, điện tử, cao su, giấy, chế tạo máy, chế biến gỗ...)
- Động cơ: 0.18 kW, với sự lựa chọn 3 phase (300 - 450V/50 Hz) hoặc 1 phase (220 - 230V/50 Hz), cấp bảo vệ IP54, tốc độ động cơ: 2.750 - 2.800 rpm, độ ồn trung bình: 59 dB(A).
-
Bơm chân không Beker VT 4.4 bảo trì bảo dưỡng đơn giản, có chi phí thấp, chủ yếu thay thế cánh gạt (Mã cánh gạt Becker: 90138700005
) và lọc gió (Mã lọc gió Becker: 90958000000
), tham khảo video bên dưới. - Quy cách bơm chân không Beker VT 4.4: trọng lượng: 7 kg, kích thước bao: 221.5 x 116 x 165.5 mm.
- Bơm chân không Beker VT 4.4 được chế tạo và sản xuất tại Nhà máy của Becker GmbH, thủ phủ công nghiệp nước Đức - Wuppertal. Made in Germany.
- Do tính ổn định và chi phí vận hành sửa chữa thấp, thương hiệu mạnh tới từ Đức (thành lập năm 1885). Ngày nay bơm chân không Becker dòng bơm chân không khô VT, VX là một trong các dòng sản phẩm bơm chân không khô (không dầu) ưu chuộng nhất thị trường ứng dụng trong đa lĩnh vực.
- Để việc vận hành bơm chân không khô Beker VT 4.4 hoàn chỉnh, quý khách lên lắp thêm: áp kế (đồng hồ đo chân không - vacuum gauge) để giám sát độ chân không của bơm. Cũng như lọc gió đầu vào (air inlet filter) để hạn chế bụi, dị vật lọt vào bơm.
- Để tăng tốc độ hút, độ chân không giảm nhanh khi vận hành khởi động ban đầu, khách hàng có thể chọn thêm giải pháp ghép đôi giữa bơm chân không khô Beker VT 4.4 với bơm tăng áp (root booster) chân không. Nhận tư vấn, cung cấp, thi công, lắp đặt hệ thống phối nhiều bơm chân không khô Beker VT 4.4 hoạt động cùng lúc, đấu nối với bơm tăng áp, bình tích khí, valve điều khiển, tủ điện điều khiển PLC....phù hợp với các dây chuyền lớn.
- Ngoài cung cấp bơm chân không khô Beker VT 4.4 và các phụ tùng Becker, chúng tôi còn cung cấp các loại bơm chân không khô chất lượng tương đương của Busch hoặc giá rẻ hơn của Trung Quốc để thỏa mãn sự lựa chọn thêm của khách hàng, phù hợp với tiêu chí của khách hàng đặt ra.
- Giao hàng và service bơm chân không khô Beker VT 4.4 toàn quốc cho mọi khách hàng, hãy liên hệ với chúng tôi tại các văn phòng gần nhất, để được phục vụ.











THÔNG TIN CHUNG:
- Hãng sản xuất: Becker/Germany (Made in Germany).
- Bảo hành: 12 tháng.
- CO, CQ do nhà sản xuất Becker cấp. Option: CO Phòng thương mại Đức.

- Đơn giá: vui lòng liên hệ với chúng tôi để biết chi tiết.
- Xuất xứ: Becker/Germany.
- CO, CQ ( test report) do Becker cấp.
- Quy cách đóng gói: hộp carton.
- Bảo hành: 12 tháng.
- Thời gian giao hàng: 2-3 ngày đối với hàng có sẵn tại Việt nam, 10-30 ngày đối với hàng không có sẵn tại Việt nam.
- Giao hàng toàn quốc, vui lòng tham khảo chính sách giao hàng phía dưới website.





















