BƠM CHÂN KHÔNG BECKER KVX 3.100 | BECKER VACUUM PUMP KVX 3.100


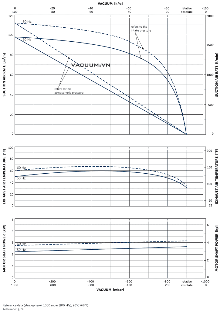
- Bơm chân không Beker KVX 3.100, Becker dry running rotary vane vacuum pump KVX 3.100 thuộc dạng bơm hút chân không khô, không dầu (Dry vacuum pump) có lưu lượng: 98 m3/h, độ chân không đạt 100 mbar chuyên dùng để hút chân không trong công nghiệp.
- Công nghệ tạo chân không của bơm chân không Beker KVX 3.100: cánh gạt carbon (4 cánh gạt). Thao tác lắp đặt vận hành, đơn giản, nhanh gọn. Thân vỏ bằng gang đúc kết hợp với nhựa công nghiệp, chắc chắn, thoát nhiệt tốt giúp bơm chân không Becker KVX 3.100 hoạt động êm ái ổn định, tuổi thọ dài lâu, thân thiện môi trường. Size cổ hút | cổ xả: G 1-1/2" | G 1-1/2".
- Valve chỉnh áp bố trí phía đầu bơm, cho phép điều chỉnh tăng/giảm nhanh chóng, dễ dàng.
- Do bơm chân không Beker KVX 3.100 thuộc dạng bơm chân không khô, không có chất bôi trơn (dầu mỡ) nên đảm bảo chân không hoàn toàn sạch và khô. Ứng dụng của Bơm chân không Beker KVX 3.100: trong dây chuyên công nghiệp (thực phẩm, đồ uống, nhựa, hóa chất, điện tử, cao su, giấy, chế tạo máy, chế biến gỗ...)
- Bơm chân không Beker KVX 3.100 có độ ồn trung bình: 75 dB(A), sử dụng động cơ 3 phase 3 kW/380-400V/50-60Hz (IE3, cấp bảo vệ IP55.ISO F), tốc độ vòng quay động cơ: 1.444 - 1.463 vòng/phút.
-
Bơm chân không Beker KVX 3.100 bảo trì bảo dưỡng đơn giản, có chi phí thấp, chủ yếu thay thế cánh gạt (Mã cánh gạt Becker: 90140200004
) và 2 lọc gió (Mã lọc gió Becker: 90950701000
và 90951400000
), tham khảo video bên dưới. - Bơm chân không Beker KVX 3.100 có quy cách: trọng lượng: 71 kg (chưa kể trọng lượng motor: 29 - 37 kg), kích thước (dài x rộng x cao): 843 - 851 x 470 x 336 mm.
- Bơm chân không Beker KVX 3.100 được chế tạo và sản xuất tại Nhà máy của Becker GmbH, thủ phủ công nghiệp nước Đức - Wuppertal. Made in Germany.
- Do tính ổn định và chi phí vận hành sửa chữa thấp, thương hiệu mạnh tới từ Đức (thành lập năm 1885). Ngày nay bơm chân không Becker dòng bơm chân không khô KVT, KVX là một trong các dòng sản phẩm bơm chân không khô (không dầu) ưu chuộng nhất thị trường ứng dụng trong đa lĩnh vực, đặc biệt chế biến gỗ.
-
Thông tin sản phẩm niêm yết tại hãng Becker

-
Thông số catalogue kỹ thuật chi tiết xem tại đây










THÔNG TIN CHUNG:
- Hãng sản xuất: Becker/Germany (Made in Germany).
- Bảo hành: 12 tháng.
- CO, CQ do nhà sản xuất Becker cấp. Option: CO Phòng thương mại Đức.

- Đơn giá: vui lòng liên hệ với chúng tôi để biết chi tiết.
- Xuất xứ: Becker/Germany.
- CO, CQ ( test report) do Becker cấp.
- Quy cách đóng gói: hộp carton.
- Bảo hành: 12 tháng.
- Thời gian giao hàng: 2-3 ngày đối với hàng có sẵn tại Việt nam, 10-30 ngày đối với hàng không có sẵn tại Việt nam.
- Giao hàng toàn quốc, vui lòng tham khảo chính sách giao hàng phía dưới website.





















