BƠM CHÂN KHÔNG ELMO RIETSCHLE V-VCS 300 | BƠM HÚT CHÂN KHÔNG ELMO RIETSCHLE V-VCS 300 | ELMO RIETSCHLE VACUUM PUMP V-VCS 300 


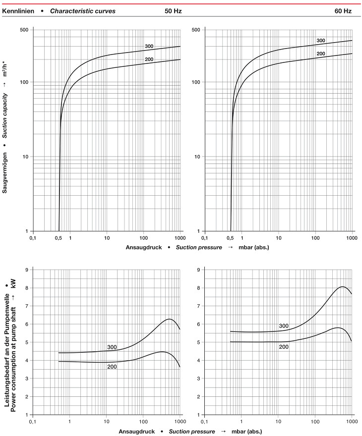
- Bơm chân không Elmo Rietschle V-VCS 300, Elmo Rietschle Oil Lubricated Rotary Vane Vacuum Pumps V-VCS 300 thuộc dạng bơm hút chân không vòng dầu (oil-flooded) có lưu lượng max: 300 m3/h, độ chân không: 0.5 mbar, chuyên dùng để hút chân không trong công nghiệp.
- Công nghệ tạo chân không của bơm chân không Elmo Rietschle V-VCS 300: cánh gạt. Thao tác lắp đặt vận hành, đơn giản, nhanh gọn. Hoạt động êm ái ổn định, tuổi thọ dài lâu.
- Chân lưu khí (Gas Ballast) được đặt gọn trên mặt bơm chân không Elmo Rietschle V-VCS 300, có tác dụng: loại bỏ ngưng tụ hơi nước (hạn chế lẫn với dầu) và điều chỉnh áp (tăng/giảm) một cách nhanh chóng và thuận tiện.
- Bơm chân không Elmo Rietschle V-VCS 300 trang bị cơ cấu chống hút ngược kép, tự động ngăn dầu hút ngược và bảo vệ hệ thống chân không của bạn khỏi sự nhiễm bẩn dầu một cách đáng tin cậy hơn sau khi tắt máy bơm chân không. Phớt chịu nhiệt FKM (Viton), tăng khả năng chống ăn mòn và giải quyết vấn đề rò rỉ dầu.
- Ứng dụng của bơm chân không Elmo Rietschle V-VCS 300: trong dây chuyên công nghiệp (nhựa, hóa chất, điện tử, cao su, giấy, chế tạo máy...)
- Bơm chân không Elmo Rietschle V-VCS 300 có độ ồn max: 68 dB(A), sử dụng động cơ: 5.5 - 7.5 kW (tùy chọn động cơ), điện áp 380V/50-60Hz/3ph, cấp bảo vệ IE3 - IE4, tiêu chuẩn DIN EN 60034, tốc độ vòng quay động cơ: 1.465 vòng/phút.
-
Bơm chân không Elmo Rietschle V-VCS 300 trang bị khe thăm dầu dọc đầu bơm, dễ quan sát tình trạng dầu, sử dụng dầu bôi trơn có dung tích 6.5 lít, sử dụng dầu Elmo Rietschle Multi-lube 100

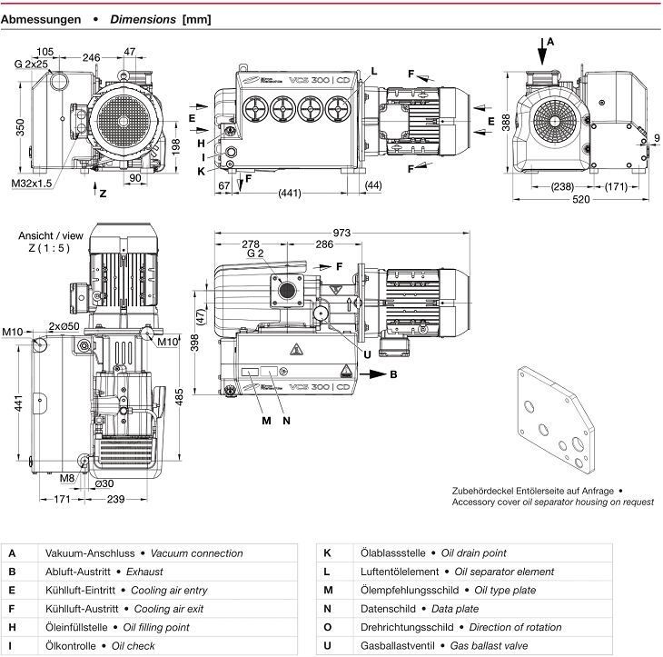
- Quy cách bơm chân không Elmo Rietschle V-VCS 300: trọng lượng: 100 kg (chưa tính trọng lượng motor: 61 - 68 kg), kích thước bao (dài x rộng x cao): 973 x 520 x 388 mm.
- Bơm chân không Elmo Rietschle V-VCS 300 được sản xuất tại Nhà máy của Elmo Rietschle (thuộc Tập đoàn Ingersoll Rand | USA) ở Bad Neustatd - Đức. Made in Germany. DKV VIET NAM nhập khẩu, phân phối và service sau bán hàng tại Việt Nam.
- Để việc vận hành bơm chân không Elmo Rietschle V-VCS 300 hoàn chỉnh, quý khách lên lắp thêm: áp kế (đồng hồ đo chân không - vacuum gauge) để giám sát độ chân không của bơm. Cũng như lọc gió đầu vào (air inlet filter) để hạn chế bụi, dị vật lọt vào bơm.
- Để tăng tốc độ hút, độ chân không giảm nhanh khi vận hành khởi động ban đầu, khách hàng có thể chọn thêm giải pháp ghép đôi giữa bơm chân không Elmo Rietschle V-VCS 300 với bơm tăng áp (root booster). Nhận tư vấn, cung cấp, thi công, lắp đặt hệ thống phối nhiều bơm chân không Elmo Rietschle V-VCS 300 hoạt động cùng lúc, đấu nối với bơm tăng áp, bình tích khí, valve điều khiển, tủ điện điều khiển PLC....phù hợp với các dây chuyền lớn.
- Ngoài cung cấp bơm chân không Elmo Rietschle V-VCS 300 và các sản phẩm (dầu chân không, lọc chân không, cánh gạt và phụ tùng Elmo Rietschle), chúng tôi còn có sẵn các loại bơm chân không tiêu chuẩn của DooVAC | Korea, WonVac | Korea và Value | China giá rẻ hơn để thỏa mãn sự lựa chọn thêm của khách hàng, phù hợp với tiêu chí của khách hàng đặt ra.
- Giao hàng và service bơm chân không Elmo Rietschle V-VCS 300 toàn quốc cho mọi khách hàng, hãy liên hệ với chúng tôi tại các văn phòng gần nhất, để được phục vụ.


-
Thông tin niêm yết sản phẩm tại hãng Gardner Denver

-
Catalogue, thông số kỹ thuật chi tiết xem tại đây










THÔNG TIN HỖ TRỢ:
- Xuất xứ: Elmo Rietschle/Germany (trực thộc Tập đoàn Ingersoll Rand | USA).
- CO, CQ do nhà sản xuất Elmo Rietschle/Germany cấp.
- Bảo hành: 12 tháng (theo tiêu chuẩn nhà sản xuất).

- Đơn giá: vui lòng liên hệ với chúng tôi để biết chi tiết.
- Xuất xứ: Gardner Denver/Germany.
- CO, CQ ( test report) do nhà sản xuất Gardner Denver/Germany cấp.
- Quy cách đóng gói: hộp carton.
- Bảo hành: 12 tháng.
- Thời gian giao hàng: 2-3 ngày đối với hàng có sẵn tại Việt Nam, 10-30 ngày đối với hàng không có sẵn tại Việt Nam.
- Giao hàng toàn quốc, vui lòng tham khảo chính sách giao hàng phía dưới website.






















